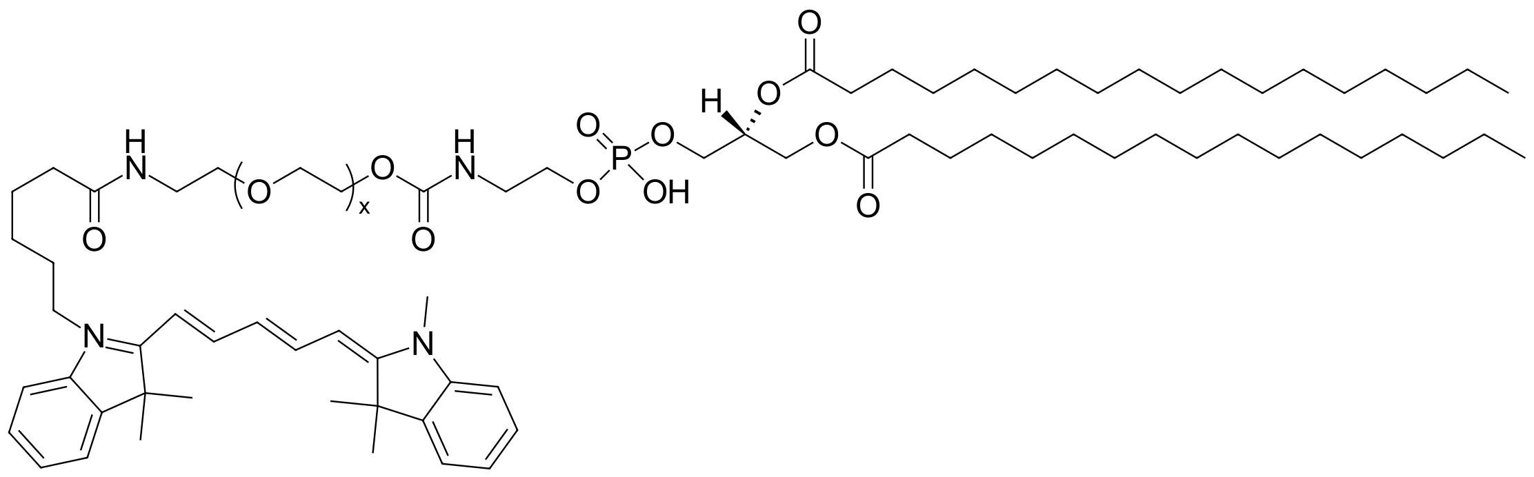
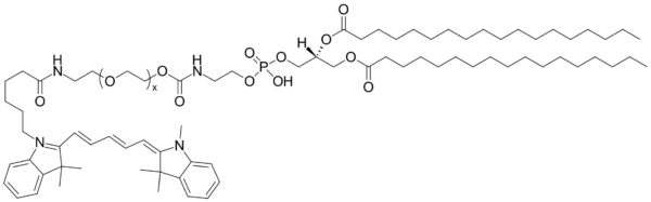
PEG derivatized lipids are used to increase the circulation time of liposomes and lipid nanoparticles (LNPs) in vivo. The hydrophilic PEG chains decrease interactions with the reticular-endothelial system and increases the size of the particles both of which result in lowered clearance rate from the body. This analog labeled with the Cyanine-5 (Cy5) fluorophore can be used for visualizing uptake of LNPs in cells.
DSPE-PEG2000-Cyanine5
L-2819
DSPE-PEG2000-Cyanine5
PEG derivatized lipids are used to increase the circulation time of liposomes and lipid nanoparticles (LNPs) in vivo. [Read More...]

