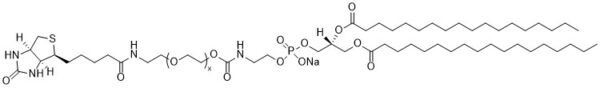
PEG derivatized lipids are used to increase the circulation time of liposomes and lipid nanoparticles (LNPs) in vivo. The hydrophilic PEG chains decrease interactions with the reticular-endothelial system and increases the size of the particles both of which result in lowered clearance rate from the body. The biotin group of DSPE-PEG2000-Biotin allows the lipid to be bound to streptavidin conjugated biomolecules or surfaces.
L-2813
DSPE-PEG2000-Biotin
PEG derivatized lipids are used to increase the circulation time of liposomes and lipid nanoparticles (LNPs) in vivo. [Read More...]

